事件及其概率¶
约 1370 个字 1 张图片 预计阅读时间 5 分钟
Quote
本章节部分内容参考了周学长的blog
随机现象域统计规律性¶
随机现象¶
-
确定性现象:可以确定在一定条件下某种现象必定发生或者必定不会发生
- 必然事件:一定会发生,例如太阳一定会东升西落
- 不可能事件:一定不会发生,例如家猪会飞上天
-
随机现象:在一定条件下,某种事件可能发生也可能不发生
-
随机试验(random experiment):对于随机现象,在基本相同的条件下,重复进行试验或者观察,可能出现不同的结果(但是结果的所有可能是知道的,不知道出现哪一种可能)
-
随机试验的结果称为随机事件(random event),简称事件
概率的统计定义¶
相同条件下重复\(N\)次试验,各次试验互不影响,事件\(A\)出现的次数(频数)\(n\),称
为 \(A\) 在 \(N\) 次试验中出现的 频率 (frequency)
\(N\)足够大时频率会趋向于一个常数,称为 概率 (probability),记为\(P(A)\),概率可以表示事件\(A\)在一次试验中发生的可能性的大小
概率和频率的特性
-
非负性:\(\forall A\in \mathcal{F},P(A)\geqslant 0\)
-
规范性:\(P(\Omega)=1\)
-
可列可加性:\(A_i\cap A_j=\emptyset, i\neq j\) (即 \(A_1,\cdots, A_n, \cdots\) 为两两不相容的事件)
古典概型¶
样本空间和样本点¶
样本空间和样本点是概率论和统计学中的两个基本概念。
样本空间(Sample Space)
样本空间是指在一次试验或随机事件中,所有可能的结果的集合。用符号 \( S \) 或 \( \Omega \) 表示。例如:
- 掷一枚硬币:样本空间是硬币的所有可能结果,记作 \( S = \{ \text{正面}, \text{反面} \} \) 或 \( S = \{H, T\} \)。
- 掷一颗骰子:样本空间是骰子的所有可能结果,记作 \( S = \{1, 2, 3, 4, 5, 6\} \)。
样本点(Sample Point)
样本点是样本空间中的一个元素,表示一次试验的一个可能结果。样本点是样本空间的一个具体结果。例如:
- 在掷一枚硬币的试验中,样本空间为 \( S = \{H, T\} \),其中 \( H \) 和 \( T \) 就是样本点。
-
在掷一颗骰子的试验中,样本空间为 \( S = \{1, 2, 3, 4, 5, 6\} \),其中 \( 1, 2, 3, 4, 5, 6 \) 都是样本点。
-
样本空间 是所有可能结果的集合。
-
样本点 是样本空间中的一个单一结果。
古典概型¶
古典概型的特征
- 样本空间中样本点有限,\(\Omega=\{\omega_1,\omega_2, \cdots, \omega_n\}\)
- 各基本事件等可能,即 \(P(\omega)=\frac 1n\)
古典概率(classical probability)的计算:
Example
有 \(n\) 个球,\(N\) 个格子 (\(n \leqslant N\)),球与格子都是可以区分的。每个球落在各格子的概率相同 (设格子足够大,可以容纳任意多个球)。将这 \(n\) 个球随机地放入 \(N\) 个格子,求:
- 指定的 \(n\) 格各有一球的概率;
- 有 \(n\) 格各有一球的概率。
把球编号为 \(1 \sim n\),\(n\) 个球的每一种放法是一个样本点,这属于古典概型。由于一个格子可容纳任意多球,样本点总数应该是从 \(N\) 个中取 \(n\) 个的重复排列数 \(N^n\)。
- 记 \(A = \{\text{指定的 } n \text{ 格各有一球}\}\),它包含的样本点数是指定的 \(n\) 格中 \(n\) 个球的全排列数 \(n!\),故:
- 记 \(B = \{\text{有 } n \text{ 格各有一球}\}\),它所包含的样本点数是 \(N\) 格中任取 \(n\) 格的全排列数 \(P_{N}^{n}\),故:
注意到 \(\log(1 - x) = -x + O(x^2), , x \to 0\)。我们有:
故当 \(N\) 比 \(n\) 大得多时,我们可以采用近似计算公式:
几何概型¶
几何概型的特征
- 样本空间中样本点无限
- 样本点落在等测度(长度、面积、体积...)区域的概率相等
几何概型的计算:
\(A_g=\{\text{任取样本点,位于区域 }g\in\Omega\text{ 的概率}\}\)
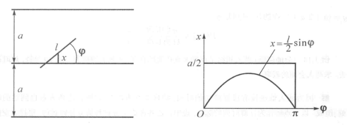
蒲丰 (Buffon) 投针问题
平面上画很多平行线,间距为 \(a\)。向此平面投掷长为 \(l \, (l < a)\) 的针,求此针与任一平行线相交的概率
以针的任一位置为样本点,它可以由两个参数决定:针的中点与最近的平行线之间的距离 \(x\),针与平行线的夹角 \(\varphi\)。
样本空间:
为一矩形。针与平行线相交的区域是:

所求概率是:
因为概率 \(P\) 可以用多次重复试验的频率来近似,所以可以得到它的近似值。方法是重复投针 \(N\) 次(或一次投针若干枚,总计 \(N\) 枚),统计与平行线相交的枚数 \(n\),则 \(P \approx n/N\)。
又因为 \(l \leqslant a\) 且可精确测量,故从 \(2l/a\pi \approx n/N\) 可解得 \(\pi \approx 2lN/an\)。历史上有人不止一次做过这个试验,做得最好的一个投掷了 3408 次,算得 \(\pi \approx 3.1415929\),其精确度已经达到小数点后第六位。
设计一个随机试验,通过大量重复试验得到某种结果,以确定我们感兴趣的某个量,由此而发展的蒙特卡洛(Monte-Carlo)方法为这种计算提供了一种途径。随着电子计算机的发展,基于随机试验法的内容,得使这种方法变得非常有效。
概率的公理化定义¶
把样本空间看做全集,事件看作包含样本点的集合,可以采用集合论的方法来研究事件
有事件之间的中的
- 包含
- 相等
- 并(至少一个发生)
- 交(同时发生)
- 差(\(A\) 差 \(B\),\(A\)发生但\(B\)不发生\(A\)差\(B = A\overline{B}\))
- 互不相容($A\cap B = \emptyset $)
- 互逆事件($A \cap B = \emptyset $ 且 \(A \cup B = \Omega\))
Note
事件的关系与运算满足集合论中有关集合运算的一切性质(交换律,结合律,分配律,De Morgan律)
概率空间¶
第一个要素为样本空间 \(\Omega\),是样本点 \(\omega\) 的全体,根据问题需要事先取定。
第二个要素为事件域 \(\mathrm{F}\),是 \(\Omega\) 中某些满足下列条件的子集的全体所组成的集类:
- \(\Omega \in \mathrm{F}\);
- 若 \(A \in \mathcal{F}\),则 \(A^c \in \mathcal{F}\);
- 若 \(A_1, A_2, \ldots, A_n, \ldots \in \mathcal{F}\),则 \(\bigcup_{n=1}^\infty A_n \in \mathcal{F}\)。
Key-point
总结为事件域中的运算是封闭的
满足这三个条件的 \(\mathcal{F}\) 称为 \(\Omega\) 上的 \(\sigma\)-代数或 \(\sigma\)-域。 \(\mathcal{F}\) 中的元素(\(\Omega\) 的子集)称为事件。
由这三个条件,可以推得事件域有下列性质:
-
\(\emptyset \in \mathcal{F}\) (因 \(\emptyset = \Omega^c\));
-
若 \(A_1, \ldots, A_n, \ldots \in \mathcal{F}\),则 \(\bigcap_{n=1}^\infty A_n \in \mathcal{F}\) (因 \(\bigcap_{n=1}^\infty A_n = \left( \bigcup_{n=1}^\infty A_n^c \right)^c\));
-
若 \(A_1, \ldots, A_n \in \mathcal{F}\),则 \(\bigcup_{k=1}^n A_k \in \mathcal{F}\),\(\bigcap_{k=1}^n A_k \in \mathcal{F}\)。
事件域也可以根据问题选择。因为对同一个样本空间 \(\Omega\),可以有很多 \(\sigma\) -代数。例如最简单的是
复杂的如
也是\(\sigma\)-代数,所以要适当选择。特别地,若\(\Omega\)为有限或可列个样本点组成,则常取\(\Omega\)的一切子集所成的集类作为
像在古典概率中那样。不难验证,\(\mathcal{F}\)是\(\sigma\)-代数。
若 \(\Omega = \mathbf{R}\)(一维实数全体),此时常取一切左开右闭有界区间和它们的(有限或可列)并、(有限或可列)交、逆所成的集的全体为\(\mathcal{F}\)(通常记为\(\mathcal{B}\)),称为一维波雷尔(Borel)\(\sigma\)-代数,其中的集称为一维波雷尔集,它是比全体区间大得多的一个集类。
若\(\Omega = \mathbf{R}^{n}\)n维实数全体),则常取一切左开右闭有界n维矩形和它们的(有限或可列)并、(有限或可列)交、逆所成的集的全体为\(\mathcal{F}\)(通常记为\(\mathcal{B}^n\)),它包含了我们感兴趣的所有情形,称为n维波雷尔\(\sigma\)-代数。
如果我们对\(\Omega\)的某个子集类\(\mathcal{C}\)感兴趣,所选的事件域\(\mathcal{F}\)可以是包含\(\mathcal{C}\)的最小\(\sigma\)-代数,这种\(\sigma\)-代数是存在的,因为:
- 至少有一个包含\(\mathcal{C}\)的\(\sigma\)-代数,即上述\(\mathcal{F}_2\);
- 若有很多包含\(\mathcal{C}\)的\(\sigma\)-代数,则它们的交也是\(\sigma\)-代数,且就是最小的。
特别地,如果我们只对\(\Omega\)的一个子集A感兴趣,则包含A的最小\(\sigma\)-代数就是
Note
概率是\(\mathcal{F}\)上的实值集函数 \(A(\in, \mathcal{F}) \rightarrow P(A)\),并且满足非负性,规范性,可列可加性三个条件(公理)
满足这些定义的概率测度 \(P\) 应满足的基本公式有以下式:
-
\(P(\emptyset) = 0\).
-
若 \(A_i; A_j = \emptyset, \, i, j = 1, 2, \ldots, n, \, i \neq j\), 则
-
\(P(A) = 1 - P(A^c)\).
-
若 \(B \subseteq A\), 则 \(P(A - B) = P(A) - P(B)\).
-
\(P(A \cup B) = P(A) + P(B) - P(AB)\).
-
\(P(A \backslash B)=P(A) - P(AB)\)
-
(多还少补定理,容斥原理)
证明-数学归纳法
- 验证基例 \(n = 1\) 当 \(n = 1\) 时,定理变为:
显然这是正确的,所以基例成立。
- 归纳假设 假设对于 \(n = k\) 时,定理成立,即:
- 证明 \(n = k+1\) 时的情形 现在我们需要证明,当有 \(k+1\) 个事件 \(A_1, A_2, \ldots, A_{k+1}\) 时,定理同样成立。
首先考虑 \(P(A_1 \cup A_2 \cup \ldots \cup A_{k+1})\):
利用概率的加法原理,有:
根据归纳假设,\(P(A_1 \cup A_2 \cup \ldots \cup A_k)\) 可以展开为:
因此,原式变为:
注意,\(P((A_1 \cup A_2 \cup \ldots \cup A_k) A_{k+1})\) 可以展开为:
将其代入之前的公式中,得到:
这正是我们需要证明的 \(n = k+1\) 的情形。
- (次可加性)
概率测度的连续性¶
给定一概率空间 \((\Omega, \mathcal{F}, P)\),假设 \(A_1, A_2, \ldots\) 是一列单调增加的事件序列,即
记 \(A = \bigcup_{n=1}^{\infty} A_n\),称 \(A\) 为 \(A_n\) 的极限。从公理化定义可以看出,\(A\) 仍然是一个事件。下面定理给出该事件的概率大小。
如果 \(A_1, A_2, \ldots\) 是一列单调增加的事件序列,具有极限 \(A\),那么,
事件的上极限和下极限¶
事件是样本点的集合,事件的上级限和下极限是事件的集合的极限。
对于一个集合序列,我们定义其上极限和下极限如下:
Definition
设 \(\{ A_n \}_{n=1}^{\infty}\) 是一列事件序列,定义
为事件 \(A_n\) 的上极限,而
为事件 \(A_n\) 的下极限。
其实理解起来也是不困难的,对于上极限
可以设\(B_n=\bigcup_{k=n}^{\infty} A_k\),则\(B_1\supset B_2 \supset \cdots\),即\(B_n\)是单调递减的(因为参与并的集合越来越少了),我们取这个单调递减的序列的交(也就相当于取极限,从最大的开始不断剔除里面多余的元素),就是上极限
而对于下极限,我们可以设\(C_n=\bigcap_{k=n}^{\infty} A_k\),则\(C_1\subset C_2 \subset \cdots\),即\(C_n\)是单调递增的(因为参与交的集合越来越少了),我们取这个单调递增的序列的并(也就相当于取极限,从最小的开始不断添加里面缺失的元素),就是下极限
Example
则有
上极限:\(\limsup_{n \to \infty} A_n = \{2,3,4\}\)
下极限:\(\liminf_{n \to \infty} A_n = \{4\}\)
条件概率和链式法则¶
条件概率 \(P(A|B)\)
事件 \(B\) 发生条件下事件 \(A\) 发生的概率,称为事件 \(A\) 关于事件 \(B\) 的 条件概率 (conditional probability)
有基本公式:
也可以表示为 链式法则(乘法公式) 的形式:
推广到 \(n\) 个事件
推广到 \(n\) 个事件,有链式法则:
特别定义 \(a>b\) 时,\(\prod_{i=a}^bA_i\) 为必然事件。
全概率公式¶
分割(完备事件组)
在概率空间 (\(\Omega, \mathcal{F}, P\)) 中,若事件 \(\{A_1, A_2, \cdots, A_n\}\)(\(n<\infty\) 或 \(n=\infty\)) 满足:
- \(A_i\) 两两互不相容(不可能同时发生),且 \(P(A_i)>0\)
-
\[\sum_{i=1}^\infty A_i=\Omega\]
则称 \(\{A_1, A_2, \cdots, A_n\}\) 构成 \(\Omega\) 的一个 分割(完备事件组)
全概率 (total probability) 公式
在概率空间 (\(\Omega, \mathcal{F}, P\)) 中,若 \(\{A_1, A_2, \cdots, A_n\}\)(\(n<\infty\) 或 \(n=\infty\)) 构成 \(\Omega\) 的一个 分割(完备事件组) ,
则有 全概率公式 成立:\(\forall B\in \mathcal{F}\),有
Proof
贝叶斯公式¶
贝叶斯 (Bayes) 公式
Proof
\(P(A_i|B)=\dfrac{P(A_iB)}{P(B)}\),分子用链式法则展开,分母用全概率公式展开。
深入了解条件概率的意义
\(P(A_i)\):不知 \(B\) 是否发生,称为 先验 (priori) 概率
\(P(A_i|B)\):以 \(B\) 发生为已知条件,称为 后验 (posteriori) 概率
事件独立性¶
两个事件的独立性¶
\(A\) 与 \(B\) 相互独立(统计独立)
称事件 \(A\) 与事件 \(B\) 相互独立(统计独立,statistical independence),如果满足
因为此时有
且
如果 \(A\) 与 \(B\) 不相互独立,也称为 统计相依 (statistical dependence)
多个事件的独立性¶
对于一组事件 \(A_1,A_2,\cdots,A_n\),存在两两独立和整体的相互独立两种概念。
不妨先以三个事件 \(A,B,C\) 为例进行研究。
-
两两独立:即 \(A\) 与 \(B\) 相互独立,\(B\) 与 \(C\) 相互独立,\(C\) 与 \(A\) 相互独立
\[ \left\{\begin{array}{l} P(A B)=P(A) \cdot P(B) \\ P(A C)=P(A) \cdot P(C) \\ P(B C)=P(B) \cdot P(C) \end{array}\right. \]但是有可能
\[ P(ABC) \neq P(A)\cdot P(B)\cdot P(C) \] -
整体相互独立:即满足
\[ P(ABC)=P(A)\cdot P(B)\cdot P(C) \]
同时满足两两独立和整体的相互独立,才能说 \(A, B, C\) 相互独立。 且A与BC的并,交,差等也是独立的。
推广到 \(n\) 个事件
推广到 \(n\) 个事件,\(A_1,A_2,\cdots,A_n\) 相互独立需要满足:\(\forall r<n\),\(A_1,A_2,\cdots,A_n\) 中任意 \(r\) 个事件都相互独立,且
或者可以直接这么定义:\(A_1,A_2,\cdots,A_n\) 相互独立,如果
伯努利试验¶
伯努利概型(Bernoulli trial)是概率论中的一个基本概念,它描述了只有两个可能结果的随机试验,通常称为“成功”和“失败”。每次试验都是独立的,并且每次成功的概率都是相同的,记作 \( p \),而失败的概率则为 \( 1-p \)。
伯努利概型的特点包括:
- 只有两个结果:每次试验的结果只能是成功或失败。
- 独立性:每次试验的结果不会影响其他试验。
- 固定的成功概率:每次试验中成功的概率 \( p \) 是不变的。
伯努利概型常用于建模各种现实情况,比如抛硬币、调查投票等。在多个伯努利试验的基础上,有二项分布
二项分布(Binomial distribution)是n重伯努利试验成功次数的离散概率分布,记作\(B(n,p)\)。
其中,\( \binom{n}{k} \) 是组合数,表示从 \( n \) 次试验中选择 \( k \) 次成功的方式总数。二项分布适用于描述在 \( n \) 次独立的伯努利试验中,成功发生的次数。
Example
一枚硬币抛 10 次,求恰好 3 次正面朝上的概率。
这是一个二项分布问题,其中 \( n = 10 \),\( k = 3 \),\( p = 0.5 \)。代入公式,有:
所以恰好 3 次正面朝上的概率是 0.1172。
乘积概率空间¶
乘积概率空间
设有两个概率空间 \((\Omega_1, \mathcal{F}_1, P_1)\) 和 \((\Omega_2, \mathcal{F}_2, P_2)\),对应试验为 \(E_1\) 和 \(E_2\),独立地做两个试验,记录其结果为 \((\omega_1, \omega_2)\),则称 \((\Omega_1 \times \Omega_2, \mathcal{F}_1 \times \mathcal{F}_2, P_1 \times P_2)\) 为 \((\Omega_1, \mathcal{F}_1, P_1)\) 和 \((\Omega_2, \mathcal{F}_2, P_2)\) 的 乘积概率空间。
其中事件事件 \(A\)
其概率
Note
两个试验的乘积概率空间可以在二维平面上表示
Simpson 悖论
约束条件为